Poin poin / materi yang akan dipaparkan pada postingan Penerapan Fungsi Non Linier - part1 ini antara lain :
- Menentukan grafik fungsi permintaan suatu barang
 - Menentukan grafik fungsi penawaran suatu barang
 - Mencari keseimbangan pasar dari fungsi permintaan dan penawaran persamaan non linier suatu barang
 - Menentukan dan menghitung dungsi biaya dari biaya totalnya
 
PENERAPAN FUNGSI NON LINIER DALAM EKONOMI
Fungsi Permintaan
Contoh:
Jika fungsi permintaan adalah Qd = 64 - 8P -2P², Gambarkan fungsi permintaan tersebut dalam satu  diagram!
Penyelesaian:
Titik potong terhadap sumbu P, maka Q = 0 
Qd = 64 - 8P - 2P²
2P² + 8P - 64 = 0 
P² + 4P - 32 = 0 
(P + 8) (P-4) = 0
Maka:
P + 8 = 0 ➜ P = - 8 (tidak memenuhi, karena negatif) 
P -  4 = 0 ➜ P = 4 (memenuhi)
Jadi titik potongnya (0,-8) dan (0,4)
Titik potong terhadap surnbu Q, maka P = 0 
Qd = 64 -  8P - 2P²
   = 64 -  0 - 0
   = 647 ➜ Titik potongnya (64,0)
Koordinat titik puncak (Qe, Pe) 
Fungsi Penawaran
Contoh:
Jika fungsi penawaran ditunjukkan oleh P = 2Q2 + 4Q +6, Garnbarkanlah  fungsi penawaran  tersebut!
Penyelesaian:
Titik potong terhadap surnbu P, rnaka Q = 0
Keseimbangan Pasar
Contoh:
Fungsi permintaan suatu barang ditunjukkan oleh persamaan Pd = 24 - 3Q² sedangkan penawarannya Ps = Q² + 2Q + 4.Tentukanlah harga dan kuantitas keseimbangan yang terjadi di pasar!
Penyelesaian:
Fungsi permintaan:	Pd = 24 - 3Q² 
Fungsi penawaran:	Ps = Q² + 2Q + 4
Syarat keseimbangan pasar :
Substitusikan nilai Q = 2 ke dalam salah satu fungsi permintaan atau penawaran, sehingga diperoleh harga pasar (Pe) :
Qe  = 2 ➜ 	Pe =   Q² + 2Q + 4
      = (2)² + 2(2) + 4
      = 4 + 4 + 4 = 12
Jadi jumlah dan harga keseimbangan pasar E (2,12)
Selanjutnya berdasarkan fungsi permintaan pd = 24 - 3Q² dan fungsi penawarannya Ps = Q² + 2Q + 4 maka kurdari keseimbangan pasar dapat digambarkan dalam grafik berikut ini :
Fungsi biaya sebuah perusahaan merupakan fungsi yang menunjukkan hubungan antara besar kecilnya kuantitas yang diproduksi dengan besarnya biaya yang diperlukan untuk berlangsungnya proses produksi tersebut. FUngsi biaya biasa dinotasikan dengan :
C = f(Q)
Artinya, Besar kecilnya biaya yang dikeluarkan perusahaan tergantung dari besar kecilnya output yang diproduksinya.
Jenis-jenis biaya yang biasa dipakai dalam perusahaan terdidi dari :
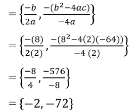
Sebuah perusahan mempunyai fungsi biaya C = 4Q² - 16Q + 40.
Hitunglah pada tingkat produksi berapa unit, biaya totalnya minimum? dan berapa besarnya biaya minimum tersebut? berapa pula besarnya biaya tetap, biaya variabel, biaya rata - rata, biaya tetap rata - rata dan biaya variabel rata - tara pada produksi tersebut?.
Penyelesaian
dari fungsi C = 4Q² - 16Q + 40
diketahui : nilai a = 4 ; b = -16 dan c = 40
Download disini .pdf











